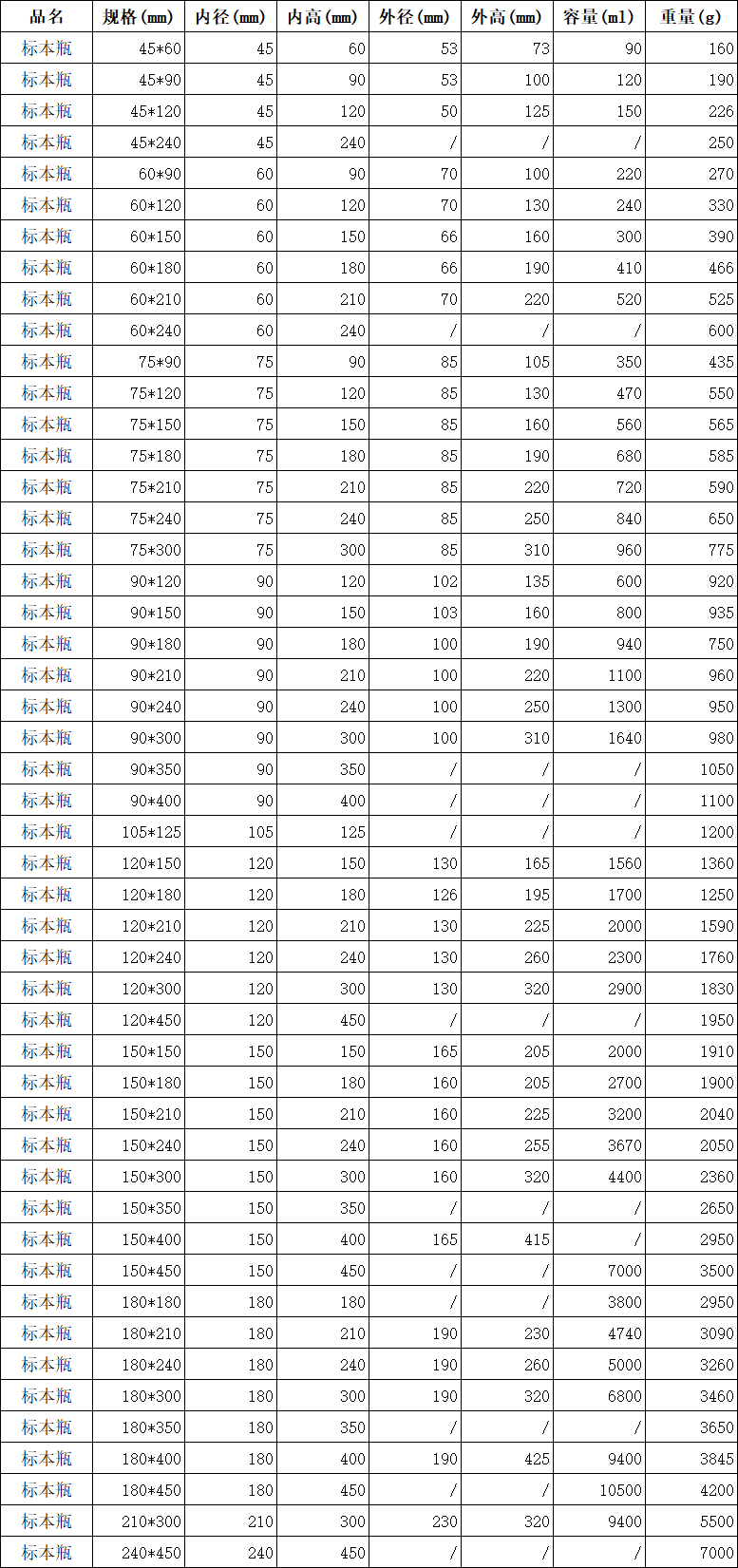
BBPHO120*210
120*210mm
现货(工作日当天发货) 平均出库时间:1个工作日 准时发货率:95.49%
>10
标本展示瓶/华鸥标本瓶
 
                     
                     
                    






声明:因厂家会在没有任何提前通知的情况下更改产品包装、产地或者一些附件,本司不能确保客户收到的货物与商城图片、产地、附件说明完全一致。 只能确保为原厂正货!并且保证与当时市场上同样主流新品一致。若本商城没有及时更新,请大家谅解!





Copyright (C) 济南启光科贸有限公司 2020, All Rights Reserved 鲁ICP备20000736号-1










